1과목: 수처리공정
1. 응집약품의 사용 방법으로 옳지 않은 것은?
2. 응집용 약품주입에 관한 설명으로 옳은 것은?
3. 활성탄처리에 관한 설명으로 옳은 것은?
4. 정수장 슬러지의 최종 처분 방안으로 옳지 않은 것은?
5. 경도 유발 물질을 제거할 수 있는 공정만으로 연결된 것은?
6. 유량이 24,000 m3/day이고 액화염소 주입률이 2.0 mg/L일 때, 액화염소의 주입량(kg/hr)은?
7. 오존처리에 관한 설명으로 옳지 않은 것은?
8. 정수처리의 소독 공정에 관한 설명으로 옳은 것은?
9. 정수처리에서 소독제로 사용하지 않는 것은?
10. 염소처리 방식과 그 용도가 바르게 연결된 것을 모두 고른 것은?
11. 급속혼화 공정에 관한 설명으로 옳은 것은?
12. 염소가스의 누출시 작동되는 중화반응탑에서 사용하는 약품으로 옳은 것은?
13. 플록형성지에 관한 설명으로 옳은 것은?
14. 급속여과에서 크립토스포리디움의 유출을 막기 위한 방법으로 옳은 것은?
15. 슬러지(함수율 99 %)를 탈수하여 케이크(함수율 80 %)로 만들었을 때, 탈수 후의 부피는 탈수 전 부피의 몇 %인가? (단, 고형물의 비중은 1이라고 가정한다.)
16. 급속여과의 운전에 관한 설명으로 옳지 않은 것은?
17. 염소 저장설비에 관한 설명으로 옳은 것은?
18. 상수원에서 맛과 냄새 문제를 유발시키는 원인 물질로 옳지 않은 것은?
19. 급속여과에 관한 설명으로 옳은 것은?
20. 배출수처리시설에 관한 설명으로 옳지 않은 것은?
2과목: 수질분석 및 관리
21. 수질오염공정시험기준상 다음 ( )에 들어갈 내용이 옳은 것은?
22. 제타 전위(Zeta Potential) 측정시 전기영동도를 계산하기 위한 인자가 아닌 것은?
23. 먹는물 수질기준 및 검사 등에 관한 규칙상 미생물에 관한 기준 중 일반세균에 관한 내용이다. ( )에 들어갈 내용은?
24. 먹는물 수질감시항목 운영 등에 관한 고시상 상수원수의 감시항목은?
25. 수도법상 수도의 정비에 관한 종합적인 기본계획(수도정비기본계획)의 수립 주기는?
26. 수질오염공정시험기준상 화학적 산소요구량(산성 과망간산칼륨법)을 적정법으로 분석할 때 사용하는 시약이 아닌 것은?
27. 오존 처리에 관한 설명 중 옳지 않은 것은?
28. 수도법령상 지표수를 사용하는 일반수도사업자가 준수해야 할 정수처리기준 중 병원성 미생물에 관한 설명이다. ( )에 들어갈 내용으로 옳은 것은?
29. 정수처리공정에서 원수의 pH를 높이기 위하여 일반적으로 사용하는 조정제가 아닌 것은?
30. 물환경보전법상 점오염원이 아닌 것은?
31. 수질오염공정시험기준상 냄새 측정에 관한 설명으로 옳지 않은 것은?
32. 처리수량이 10,000 m3/day인 정수장에서 염소를 5 mg/L로 주입할 때 잔류염소 농도가 0.2 mg/L이었다면 염소요구량(kg/day)은? (단, 염소의 순도는 80 %이다.)
33. 정수지의 수리학적 체류시간이 50분이고 장폭비 환산계수(T10/T)가 0.1이다. 이 정수지의 유출부에서 측정한 잔류염소 농도가 0.3 mg/L일 때 CT계산값 (mg/Lㆍmin)은?
34. 먹는물관리법에서 정의한 ‘먹는물’이 아닌 것은?
35. 수도법령상 일반수도사업자가 하여야 하는 위생상의 조치에서 수도꼭지에서 항상 유지하여야 할 먹는물 유리잔류염소의 농도기준(mg/L)은? (단, 병원성미생물에 의하여 오염되었거나 오염될 우려는 없는 것으로 한다.)
36. 지하수법상 지하수의 보전ㆍ관리를 위하여 필요한 경우 지하수보전구역을 지정할 수 있는 사람은?
37. 수도법령상 탁도 등의 기준, 검사의 항목, 주기 및 방법에서 탁도의 검사주기로 옳은 것은?
38. 먹는물수질공정시험기준상 실온에 해당하는 온도범위는?
39. 수질오염공정시험기준상 암모니아성 질소 분석용 시료에 잔류염소가 공존할 경우 첨가하는 시약은?
40. 먹는물 수질감시항목 운영 등에 관한 고시상 먹는샘물의 감시항목이 아닌 것은?
3과목: 설비운영(기계·장치 또는 계측기 등)
41. 정수장에 사용되는 약품주입설비의 운영에 관한 내용으로 옳은 것을 모두 고른 것은?
42. 수도사업장에는 이용목적에 따라 다양한 형식의 펌프가 적용된다. 수도용 송수ㆍ가압 목적으로 주로 사용하는 펌프는?
43. 차단용으로 개폐빈도가 적고 지수(止水)가 장기간 유지될 필요가 있을 경우에 사용하는 밸브는?
44. 다음에서 설명하고 있는 급속혼화시설은?
45. 침전지 슬러지 배출방식에 해당하는 것을 모두 고른 것은?
46. 정수장에서 사용되는 기계식 탈수방식이 아닌 것은?
47. 운전 중인 펌프의 토출량을 제어하기 위한 방법이 아닌 것은?
48. 직류전동기의 종류가 아닌 것은?
49. 정격 6.6 kV, 300 kVA인 부하의 역률이 90 %일 때, 출력(kW)은?
50. 상수도설계기준상 비상용 자가발전설비에 관한 설명으로 옳지 않은 것은?
51. 상수도설계기준상 역률개선 설비에 관한 설명으로 옳은 것은?
52. 상수도설계기준상 상수도시설의 계측제어를 위해 수위계 설치가 필요 없는 것은?
53. 수ㆍ변전설비의 계획 수립에 필요한 고려대상이 아닌 것은?
54. 산업안전보건법령상 안전보건표지의 종류와 형태에서 “보행금지”에 해당하는 것은?




55. 막여과시설에서 사용하는 여과법이 아닌 것은?
56. 여과층의 세척효과가 불충분할 경우에 나타나는 현상이 아닌 것은?
57. 산업안전보건법령상에서 규정한 산업재해에 관하여 조사하고 예방을 위해 정책수립 및 집행을 하는 자는?
58. 다음은 여과지에 관한 설명이다. ( )에 들어갈 용어로 옳은 것은?
59. 염소가스 저장시설에 염소가스 누출로 인한 중독을 방지하기 위해 설치하는 제해 설비가 아닌 것은?
60. 액화염소 주입설비에 관한 설명으로 옳지 않은 것은?
4과목: 정수시설 수리학
61. [MLT]계로 표현되는 유량의 차원으로 옳은 것은? (단, [M]은 질량, [L]은 길이, [T]는 시간을 표시하는 차원이다.)
62. 유체의 특성에 관한 설명으로 옳지 않은 것은?
63. 유체의 에너지방정식을 아래와 같이 표기했을 때 괄호 안에 들어갈 내용에 포함되지 않는 것은?

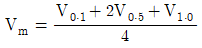
64. 베르누이(Bernoulli) 방정식 유도 시 도입되는 가정으로 옳지 않은 것은?
65. Darcy-Weisbach 공식의 마찰손실계수에 관한 설명으로 옳지 않은 것은?
66. 수면차이가 10 m인 두 곳의 저수지를 연결한 관의 지름이 0.2 m, 길이가 1.0 km 일 때, 관로를 흐르는 유량(m3/sec)은 약 얼마인가? (단, 마찰손실계수 f=0.015, 미소손실은 무시한다.)
67. A지점의 개수로 유량측정을 위해서 유속-면적법을 이용할 때, 3점법으로 계산하는 식으로 옳은 것은? (단, Vm은 수심평균유속이고, V의 아래첨자는 수심이 1일 때 수면으로부터 유속을 측정한 지점이다.)




68. 지름이 40 cm인 원형관에 물이 가득차서 흐를 때 동수반경(R)은?
69. 관로의 마찰손실수두에 관한 설명으로 옳은 것을 모두 고른 것은?
70. 단면적이 20 m2, 유속이 4 m/day인 하천 개수로의 유량(m3/day)은?
71. A정수장의 침전공정에서 독립입자가 침전하는 속도를 Stokes법칙을 적용하여 산정하고자 할 때, 다음 설명으로 옳지 않은 것은?
72. 정수장 침전지 유입량이 30,000 m3/day이다. 침전지의 길이가 30 m이고, 깊이는 5 m, 폭이 10 m라면 침전지의 표면부하율(m3/m2/day)은?
73. 정수장 급속여과지의 표준 여과속도(m/day)로 옳은 것은?
74. 정수장내 오존소독에 관한 설명으로 옳지 않은 것은?
75. 펌프의 특성 및 운전에 관한 설명으로 옳은 것은?
76. 펌프의 축동력에 관한 설명으로 옳은 것은?
77. 펌프의 비속도(Ns)에 관한 설명으로 옳은 것은?
78. 펌프 운전 시 유속의 급변으로 인해서 물이 기화되어 흐름 중에 공동이 발생하는 현상은?
79. 관수로의 마찰손실계수를 구할 때 필요한 것은?
80. 펌프의 유효흡입 수두에 관한 설명으로 옳지 않은 것은?