1과목: 수처리공정
1. 플록형성지에 관한 설명으로 옳지 않은 것은?
2. 침전지에 관한 설명으로 옳지 않은 것은?
3. 침전지 제거율이 낮아지는 경우는?
4. 표면부하율이 20 mm/min으로 설계된 횡류식 침전지에서 침강속도가 40 mm/min인 입자의 예상되는 제거율(%)은?
5. 입도분포 실험에서 중량통과율 10 %, 30 %, 40 %, 60 %, 80 %에 해당하는 여과모래의 입경이 각각 0.5 mm, 0.6 mm, 0.7 mm, 0.8 mm, 0.9 mm이었다. 여과모래의 균등계수는?
6. 완속여과법을 선택하여야 하는 경우로 옳은 것은?
7. 하향류 여과 시설의 여과층에 따른 탁질억류량 분포가 다음 그림과 같은 여과층의 형식은?
8. 염소소독제의 특성 및 살균력에 관한 설명으로 옳지 않은 것은?
9. 염소가스 저장시설의 제해설비 중, 흡수용 제해제와 중화제로 가장 널리 사용되는 것을 순서대로 바르게 나타낸 것은?
10. 수도법령상 일반수도사업자가 병원성 미생물에 의하여 오염되었거나 오염될 우려가 있는 경우에 수도꼭지의 먹는물에서 유지해야 하는 결합잔류염소의 최소농도(mg/L)는?
11. 여과공정만으로 수도법령상 정수처리기준에서 정한 병원성미생물의 최소제거 및 불활성화 기준을 충족하는 여과 방식으로 옳은 것을 모두 고른 것은?
12. 소독 공정에서 요구되는 CT요구값의 산출에 필요한 항목이 아닌 것은?
13. 먹는물 수질기준 중 분원성 연쇄상구균과 살모넬라 기준이 적용되지 않는 것은?
14. 슬러지 처리 시설 중 슬러지의 유량 조정이 주요 기능인 시설만으로 연결된 것은?
15. 슬러지의 탈수가 여과포의 압착력과 전단력으로 이루어지는 것은?
16. 농축조의 슬러지 처리량이 100 kg/d이고 고형물부하율이 20 kg/(m2ㆍd)일 때, 농축조의 표면적(m2)은?
17. 막여과 공정의 약품세척에서 무기물을 제거하기 위해 일반적으로 사용되는 약품이 아닌 것은?
18. 색도가 높은 원수를 처리하는데 적합한 공정은?
19. 모래여과지의 처리수에 오존을 주입하는 공정은?
20. 자외선 소독 공정에서 조사량에 미치는 영향 인자 중 접촉시간과 관련된 것은?
2과목: 수질분석 및 관리
21. 수질오염공정시험기준상 수질 시료 채취에 관한 설명으로 옳지 않은 것은?
22. 0.5 N NaOH 용액 400 mL와 2 M NaOH 용액 300 mL에 포함된 NaOH 질량(g)의 합은 얼마인가? (단, NaOH의 분자량은 40이다.)
23. 수질오염공정시험기준상 총칙의 내용으로 옳은 것은?
24. 정수시설의 입상활성탄 세척빈도에 영향을 주는 인자가 아닌 것은?
25. 정수처리공정에서 응집용 약품주입에 관한 설명으로 옳지 않은 것은?
26. 오존처리 공정에서 오존주입량 5 mg/L이고, 배출오존량 1 mg/L, 잔류오존량 0.5 mg/L일 때 오존이용률(또는 흡수율)(%)은?
27. 정수지에서 잔류염소 농도가 0.5 mg/L이고 소독제의 접촉시간이 30분이었다. 바이러스에 대한 소독제의 불활성화비가 5일 때 이 정수지의 CT요구값은 얼마인가?
28. 먹는물수질공정시험기준상 증발잔류물 측정에 관한 내용이다. ( )에 공통으로 들어갈 내용으로 옳은 것은?
29. 먹는물수질공정시험기준상 냄새 항목 분석에 관한 설명으로 옳지 않은 것은?
30. 먹는물수질공정시험기준상 암모니아성 질소의 측정방법이 아닌 것은?
31. 소독에 의한 불활성화비 계산에 있어 ( )에 들어갈 숫자로 옳은 것은?
32. 먹는물 수질기준 및 검사 등에 관한 규칙상 먹는물의 수질기준 중 건강상 유해영향 유기물질에 해당하는 것은?
33. 먹는물 수질기준 및 검사 등에 관한 규칙상 광역상수도 정수장에서 매일 1회 이상 검사해야 하는 항목이 아닌 것은?
34. 먹는물관리법상 먹는물에 해당하는 것을 모두 고른 것은?
35. 수도법령상 정수처리기준에 따라 정수된 물의 탁도 검사주기로 옳은 것은?
36. 물환경보전법상 점오염원에 해당하는 것은?
37. 수도법령상 시설규모가 2만 m3/일 이상 5만 m3/일 미만인 경우 일반수도사업자가 배치해야 할 정수시설운영관리사 배치기준은?
38. 수도법령상 지표수를 사용하는 일반수도사업자가 준수해야 할 정수처리기준 중 취수지점부터 정수장의 정수지 유출지점까지의 구간에서 바이러스의 제거 혹은 불활성화 기준은?
39. 수도법상 일반수도가 아닌 것은?
40. 지하수법상 지하수보전구역으로 지정할 수 있는 지역에 해당하지 않는 것은?
3과목: 설비운영(기계·장치 또는 계측기 등)
41. 습기가 있으면 밀착, 고결되어 물에 녹지 않게 되므로 저장실을 완전한 방습구조로 하여야 하는 약품은?
42. 순간혼화가 어렵고 단락류가 많이 발생하며 back-mixing이 발생할 수 있는 급속 혼화방식은?
43. 침전지 슬러지의 배출 방식이 아닌 것은?
44. 필요에 따라 진동장치를 설치할 수 있는 슬러지 케이크 배출방법은?
45. 역세척을 위한 세척탱크에 설치하는 설비로서 중심을 저수위로부터 관경의 2배 이상 얕게 하거나 벽을 설치하는 등의 방법으로 공기 혼입을 방지해야 하는 것은?
46. 염소가스 저장량 1,000 kg 이상의 저장시설에 설치하는 제해설비에 관한 설명으로 옳은 것은?
47. 오존주입설비의 발생오존과 접촉하는 부위에 사용할 수 있는 수지는?
48. 밸브를 선정할 때 고려해야 하는 사항이 아닌 것은?
49. 구조가 견고하고 운전과 보수가 용이하여 상수도용 펌프에 주로 사용되는 전동기는?
50. 수요 제계수에 있어서 수요 설비가 동시에 사용되는 정도를 나타내는 값으로 사용되는 계수는?
51. 전력설비 보호를 위해 단로기가 오조작에 의하여 개폐되지 않도록 설치하는 것은?
52. 한국전기설비규정상 전로에 시설하는 기계기구의 철대 및 금속제 외함에 접지공사를 하지 않아도 되는 예외규정이 아닌 것은?
53. 전력퓨즈에 관한 설명으로 옳지 않은 것은?
54. 5 A의 전류가 저항에 흐를 때 소비전력이 10 kW일 경우, 저항(Ω)은?
55. 대기에 노출되어 있는 분말재료의 저류조 계면높이 측정에 적합한 측정기는?
56. 취수장에 설치하여야 하는 기본계측기는?
57. 뇌(雷)에 의해 전송선로에 유기된 이상전압으로부터 발신기나 수신기를 보호하기 위한 피해방지기기는?
58. 와류 유량계에 관한 설명으로 옳은 것은?
59. 화학물질의 분류ㆍ표시 및 물질안전보건자료에 관한 기준상 물질안전보건자료 작성시 포함되어야 할 항목이 아닌 것은?
60. 고압가스 안전관리법상 사업자등과 특정고압가스 사용신고자가 그의 시설이나 제품과 관련하여 사람이 사망한 사고가 발생한 경우 즉시 통보하여야 하는 기관은?
4과목: 정수시설 수리학
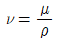
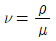
61. 유체의 동점성계수(v), 점성계수(μ), 밀도(ρ)의 관계를 옳게 나타낸 것은?




62. 유선(stream line)에 관한 설명으로 옳은 것은?
63. 개수로에서 유량측정을 위해 직사각형 예연위어를 사용하고 있다. 월류수심의 측정에 2 %의 오차가 있다면 측정 유량에 발생하는 오차(%)는 얼마인가? (단, 위어의 유량계수는 상수이고 단면수축은 없다.)
64. 상류측 관경이 400 mm, 하류측 관경이 200 mm인 관로에서 상류측 관로의 단면평균 유속이 2 m/s라면, 하류측 관로의 단면평균유속(m/s)은 얼마인가? (단, 관로의 유량은 관을 가득 채운 상태로 일정하게 흐르고 있다.)
65. 관수로 내의 마찰로 인한 에너지손실을 산정할 수 있는 공식은?
66. 물탱크에 설치된 작은 오리피스에서 단면수축계수(Ca), 유속계수(Cv), 유량계수(Cd)의 관계를 옳게 표현한 것은?




67. [MLT]계로 나타낸 물리량의 차원표시로 옳지 않은 것을 모두 고른 것은?
68. 관로길이 10 m, 관경 0.1 m인 관수로에서 평균유속 1 m/s로 물이 흐르고 있을 때 마찰손실수두(m)는 약 얼마인가? (단, 마찰손실계수는 0.01, 중력가속도는 9.8 m/s2이다.)
69. 계획 정수량 1,000 m3/d인 여과지의 여과면적이 50 m2일 때, 여과속도(m/d)는 얼마인가?
70. 폭 5 m, 길이 10 m, 유효수심 5 m인 장방형 침전지의 표면부하율이 50 m/d일 때, 이 침전지의 유입유량(m3/d)은 얼마인가?
71. 직사각형 단면의 개수로에서 최적수리단면의 수심(h)과 수로폭(b)의 관계를 올바르게 나타낸 것은?
72. 관수로에서 레이놀즈(Reynolds) 수에 관한 설명으로 옳지 않은 것은?
73. 관수로 흐름에서 발생하는 미소손실에 관한 설명으로 옳지 않은 것은?
74. 개수로에서 프루드수(Froude number)에 관한 설명으로 옳지 않은 것은?
75. 혼화지의 속도경사(G)에 관한 설명으로 옳지 않은 것은?
76. 수격현상을 경감시키는 방법이 아닌 것은?
77. 11.5 m의 전양정으로 0.5 m3/s의 수량을 양수하려 한다. 펌프의 효율이 80 %라면, 펌프에 필요한 동력(kW)은 약 얼마인가? (단, 중력가속도는 9.8 m/s2, 물의 단위 중량은 1,000 kgf/m3이다.)
78. 펌프의 비속도(Ns)를 올바르게 나타낸 것은? (단, N 은 회전속도, Q는 토출량, H는 전양정이다.)




79. 펌프에 사용되는 물리량인 동력에 관한 설명으로 옳지 않은 것은?
80. 운전중인 펌프의 토출량을 제어하기 위한 방법이 아닌 것은?
오답 노트
교반강도는 하류로 갈수록 점차 증가시키는 것이 바람직하다: 플록의 파괴를 막기 위해 강도를 점차 낮춰야 하므로 틀린 설명입니다.