1과목: 어구학
1. 그물실의 굵기를 표시하는 방법으로서 무게 1Ib(453.6g)되는 올의 길이가 몇 타래(840 yards)인가에 따라서 표시하는 방법은?
2. 다음 중 단섬유로 가장 많이 만들어지는 섬유는?
3. 다음의 섬유 중 해수에 뜨는 것은?
4. 11절 그물코는 mm로 환산할 경우 얼마인가?(문제 오류로 정답이 정확하지 않습니다. 정답지를 찾지못하여 임의 정답 1번으로 설정하였습니다. 정답을 아시는 분께서는 오류 신고를 통하여 정답 입력 부탁 드립니다.)
5. 다음 중 전기자극장치를 겸용할 때 가장 효과적인 어구는?
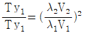
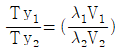
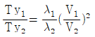
6. 그물 어구의 상사법칙에서 예인 속도를 V, 길이를 λ, x 및 y 방향의 장력을 각각 Tx, Ty 모형에는 첨자 1, 실물에는 첨자 2를 붙였을 때 가장 바르게 표현한 것은?




7. 관성모멘트의 계산이 필요 없는 경우는?
8. 전개판의 전개력과 조업의 편의를 위해서는 전개판 어떻게 경사하는 것이 좋은가?(문제 오류로 정답이 정확하지 않습니다. 정답지를 찾지못하여 임의 정답 1번으로 설정하였습니다. 정답을 아시는 분께서는 오류 신고를 통하여 정답 입력 부탁 드립니다.)
9. 새우 트롤이 일반 저층 트롤과 다른 점에 대한 내용 중 가장 거리가 먼 것은?
10. 오징어 채낚기 어법에서 집어등의 변천과정을 맞게 나열한 것은?
11. 피쉬 펌프(fish pump)의 용도는?
12. ( )에 가장 적합한 내용은?
13. 기계의 역학 특성에 대한 용어 정의 중 틀린 것은?
14. 그물실의 신장도에 대한 설명 중 틀린 것은?
15. 어구설계의 순서 중에서 제일 끝에 결정하여야 할 것은?
16. 어구의 재료에서 매듭 그물감과 비교해서 매듭 없는 그물감 중 관통 그물감의 특징이 아닌 것은?
17. 발돌의 공기 중 무게를 W, 수중에서 받는 부력을 F, q부피를 V, 비중을 C, 해수의 밀도를 ρ라고 할 때 침강력은?
18. 트롤 어선에서 트롤 어구를 감아올리는 트롤 윈치(trawl winch)에 있어서 위치의 동력을 P, 예강(Warp)에 걸린ㄴ 장력이 양현 모두 같이 T이고, 예강을 감아올리는 속도를 v라고 할 때 T는?




19. 수동 윈치를 1인이 인력으로 선회시키는 힘은?
20. 360mm 지름의 구형 뜸의 공기 중 무게가 1.8kg 이라고 할 때 비중이 1인 수중에서의 부력은 약 얼마인가?
2과목: 어법학
21. 새우를 어획하는 데 있어 비임트롤(beam trawl)로 하는 것이 오터 트롤(otter trawl)로 하는 것보다 유리한 경우는?
22. 다음 중 오징어 어업을 가장 잘 표현한 것은?
23. 유자망의 조업 시 일어나는 순대말이의 사고를 방지하기 위한 방법 중 틀린 것은?
24. 다음 어법 중 하나의 어구에 가장 많은 종류의 어종이 섞여서 어획되는 것은?
25. 다음 어법 중 하나의 어구에 가장 많은 종류의 어종이 섞여서 어획되는 것은?
26. 다랑어 건착망의 조업 방법에 대한 설명 중 틀린 것은?
27. 쌍끌이 기선 저인망의 끌멍에가 하는 역할은?
28. 예망어구에 포위된 고기가 이동하는 그물코나 줄류 등을 시각 목표로 정하고 그물의 진행방향과 같은 방향으로 이동하는 것은?
29. 유자망의 대상 어족으로 적합하지 않는 것은?
30. 다랑어 선망의 어로방법으로 바르게 설명한 것은?
31. 쌍끌이 기선 저인망의 예망 중 예행점이 좌우현으로 자유롭게 이동할 수 있도록 해주는 장치는?
32. 자망어법으로서 잡을 때 저층 고정자망어업을 써서 잡는 것은?
33. 일반어류가 주간에 어구의 존재를 식별하는데 가장 큰 역할을 하는 감각기관은?
34. 쌍끌이 기선저인망에서 예망속도가 커질 경우에 나타나는 가장 큰 변화는?
35. 우리나라 남해안에서 주로 멸치를 대상으로 이루어지는 어업은?
36. 다음 중 통발어업의 장점과 가장 거리가 먼 것은?
37. 건착망선의 양망 시 죔줄을 죄는 속도를 조절할 때 고려해야 하는 오인과 가장 거리가 먼 것은?
38. 다음 중 횟감으로 사용되는 방어를 어획하는 가장 주된 어법에 이용되는 것은?
39. 다음 중 기선저인망어업의 주 대상어종이 아닌 것은?
40. 다음 중 불빛(집어등)을 이용하여 어획할 수 없는 어종은?
3과목: 수산자원학 및 어업관리학
41. 서석해역의 수용능력이 1000톤이고, 현재의 자원량이 1000톤이면 자연증가량은?
42. TAC제도의 성격을 바르게 설명한 것은?
43. 다음 어류 중에서 한류성 어종은?
44. 표지방류 개체수(X)가 10000마리, 재포개체수(x)가 1586마리, 어획개체수 (C)가 12.4×106 마리일 때 방류시의 자원개체수 (N)는?
45. Bertalanffy 성장식에 대한 설명으로 틀린 것은?
46. 다랑어 어류 중 가장 깊은 곳에 분포하는 어종은?
47. Selection span은 다음의 그림에서 어느 범위를 말하는가?
48. UN 해양법 협약 중 연안국이 자국의 어획능력과 타국의 생물학적 허용어획량을 결정할 권리를 부여한 내용을 담고 있는 규정은?
49. 어업관리의 수단에는 기술적 수단 어업노력량 통제 순다. 어획량 통제 수단 등이 있다. 다음 중 어획량 통제 수단에 해당되지 않는 것은?
50. 어업관리에 있어서 할당량을 설정할 경우 MSY보다 낮은 값을 사용하는 이유로 가장 적합한 것은?
51. 트롤선의 선속이 5노트, 전개된 그물폭이 8m, 어획능률이 0.5, 시간당 평균어획량이 50kg, 전체분포해역의 면적이 1000km2일 경우 트롤조사법에 의하여 추정된 자원량은?
52. 다음 중 총허용어획량 결정에 기본이 되는 것은?
53. 다음 중 TAC의 할당방식 중에서 어업관리의 자율적 시장적 접근을 도입한 방식은?
54. 다음 중 수명이 가장 긴 어종은?
55. B(Biomass estimation), M(MSY estimation), A(ABC estimation), T(TAC determination)라 할 때 TAC 평가를 위한 절차를 바르게 나타낸 것은?
56. 다음 중 200해리 배타적 경제수역(EEZ)에 관한 설명 중 잘못된 것은?(문제 오류로 정답이 정확하지 않습니다. 정답지를 찾지못하여 임의 정답 1번으로 설정하였습니다. 정답을 아시는 분께서는 오류 신고를 통하여 정답 입력 부탁 드립니다.)
57. 자원의 평형상태란 어느 경우를 말하는가?
58. 수산자원 생물 중 어업생물이 특히 갖추어야 할 요건은?
59. 다음의 어류 중 배지느러미와 등지느러미를 함께 갖지 않는 것은?
60. 어업관리의 기술적 수단에 해당하지 않는 것은?
4과목: 어업어장정보론
61. 영양염류에 대한 설명 중 틀린 것은?
62. 다음 중 쿠로시오(Kuroshio)와 가장 비슷한 해류는?
63. 조경역에서 좋은 어장이 형성되는 이유에 해당되지 않는 것은?
64. 적조를 일으키는 환경요인이 아닌 것은?
65. 다음 중 용승어장이 아닌 곳은?
66. 두 물체간의 거리가 (L), 음속 (C), 펄스폭을 (τ)라고 하면 두 물체를 식별할 수 있는 가능한 거리 (S)는 얼마 이상인가?




67. 어황에 대한 설명 중 가장 올바른 것은?
68. 현재 어·해황 정보의 수십이 이용되고 있는 해면온도의 리모트 센싱 기술에서 주로 사용되고 있는 전자파는?
69. 어장 형성기구에 따라 분류한 어장의 종류는?
70. 다음 중 갈치의 어획이 가장 많은 시기는?
71. 어군 탐지기의 송·수파기에 대한 설명 중 틀린 것은?
72. 해수중의 용존산소량이 어류에 미치는 영향에 대한 설명 중 옳은 것은?
73. 해수 중 정보수집 및 전달수단으로써 전파나 빛보다 음파를 이용하는 이유는?
74. 다음 중 쿠로시오(Kuroshio)와 오야시오(Oyashio)해류의 경계역에서 잘 잡히는 다랑어는?
75. 서치라이터 소나(Search light sonar)와 스캐닝 소나(Scanning sonar)가 크게 다름 점은?
76. 다중반사에 대한 설명 중 틀린 것은?
77. NOAA 위성의 관측고도는 다음 중 어느 것인가?
78. 조류계(유속계)를 양망시간의 예측 망구차단 시간 예측, 어구부설위치 사전 조사 등에 많이 이용되고 있는 어업은?
79. 정어리에 대한 설명 중 맞는 것은?
80. 일반적으로 저기압 통과 시 동해 연안 정치망에 많이 입망하는 어류 중 대표적인 것은?
5과목: 해양수산법규
81. 수산업법령상 다음은 어떤 근해어업의 종류에 해당하는가?
82. 수산업법상 기르는 어업의 육성에 관한 설명으로 틀린 것은?(문제 오류로 정답이 정확하지 않습니다. 정답지를 찾지못하여 임의 정답 1번으로 설정하였습니다. 정답을 아시는 분께서는 오류 신고를 통하여 정답 입력 부탁 드립니다.)
83. 어선법의 목적과 가장 거리가 먼 것은?
84. 어선법상 어선의 개조에 해당하지 않는 것은?
85. 어선법상 최초로 항행의 목적에 사용하는 때 또는 어선검사증서의 유효기간이 만료된 때 행하는 정밀한 검사는?
86. 수산업법상 시·도지사 또는 시장·군수·구청장은 외국인이나 외국 법인에 대하여 어업면허 또는 허가를 하고자 할 때에는 미리 누구와 협의하여야 하는가?
87. 완전한 무해통항권이 인정되는 선박의 유형은?
88. 수산업법상 어업권을 보호받을 목적으로 보호구역을 둘 수 있는 어업은?
89. UN해양법협약상 공해규정에 관한 설명으로 옳은 것은?
90. 수산업법에서 사용하는 용어의 정의로 옳은 것은?
91. 어선법규상 어선명칭 및 선적항을 표시하는 글자의 크기는 몇 센티미터 이상이어야 하는가?
92. 선박법상 대한민국 선박이 아닌 것은?
93. 수산업법상 면허어업에 관한 설명으로 틀린 것은?
94. 어선법상 등록시 선박국적증서를 발급하여야 하는 어선 기준은?
95. 직선기선에 의한 영해기선 설정요건으로 틀린 것은?
96. 배타적 경제수역 내에서 연안국이 주관적 권리를 행사할 수 있는 사항은?
97. 수산업법령상 수산기술자에 해당하지 않는 자는?
98. 연안국의 영해 상공에 대한 법적 지위를 가장 잘 나타낸 것은?
99. 수산업법상 어업권의 취득 시점은?
100. 선박법상 총톤수에 관한 설명으로 옳은 것은?(문제 오류로 정답이 정확하지 않습니다. 정답지를 찾지못하여 임의 정답 1번으로 설정하였습니다. 정답을 아시는 분께서는 오류 신고를 통하여 정답 입력 부탁 드립니다.)