1과목: 산업안전보건법령
1. 산업안전보건법령상 용어에 관한 설명으로 옳지 않은 것은?
2. 산업안전보건법령상 산업재해 중 중대재해에 해당하는 것을 모두 고른 것은?
3. 산업안전보건법령상 산업재해 발생건수 등의 공표대상 사업장이 아닌 것은?
4. 산업안전보건법령상 안전보건관리책임자에 관한 설명으로 옳은 것은?
5. 산업안전보건법령상 산업안전보건위원회에 관한 설명으로 옳은 것은?
6. 산업안전보건법령상 관계수급인 근로자가 도급인의 사업장에서 작업을 하는 경우 도급인이 이행하여야 할 사항이 아닌 것은?
7. 산업안전보건법령상 도급인과 수급인을 구성원으로 하는 안전 및 보건에 관한 협의체에 관한 설명으로 옳은 것은?
8. 산업안전보건법령상 안전관리전문기관 또는 보건관리전문기관의 지정을 취소하여야 하는 경우는?
9. 산업안전보건법령상 안전보건교육에 관한 설명으로 옳지 않은 것은?
10. 산업안전보건법령상 안전보건교육기관에 관한 설명으로 옳은 것은?
11. 산업안전보건법령상 유해·위험 방지를 위한 방호조치가 필요한 기계·기구가 아닌 것은?
12. 산업안전보건법령상 '대여자 등이 안전조치 등을 해야 하는 기계·기구·설비 및 건축물 등'에 해당하는 것을 모두 고른 것은? (단, 고용노동부장관이 정하여 고시하는 기계·기구·설비 및 건축물 등은 고려하지 않음)
13. 산업안전보건법령상 유해성·위험성 조사 제외 화학물질이 아닌 것은? (단, 고용노동부장관이 공표하거나 고시하는 물질은 고려하지 않음)
14. 산업안전보건법령상 유해인자의 유해성·위험성 분류기준 중 물리적 위험성 분류기준에 관한 설명으로 옳지 않은 것은?
15. 산업안전보건법령상 자율안전확인에 관한 설명으로 옳지 않은 것은?
16. 산업안전보건법령상 안전인증에 관한 설명으로 옳지 않은 것은?
17. 산업안전보건법령상 안전검사대상기계등에 대한 안전검사를 면제할 수 있는 경우를 모두 고른 것은?
18. 산업안전보건법령상 작업환경측정 및 작업환경측정기관에 관한 설명으로 옳은 것은?
19. 산업안전보건법령상 상시근로자 수 300명 이상의 사업 중 안전보건관리규정을 작성해야 하는 사업이 아닌 것은?
20. 특수건강진단의 시기 및 주기에 관한 산업안전보건법 시행규칙 [별표 23]의 일부이다. ( )에 들어갈 숫자로 옳은 것은? (단, 특수건강진단 주기의 예외 규정은 고려하지 않음)
21. 산업안전보건법령상 작업환경측정 또는 건강진단의 실시 결과만으로 직업성 질환에 걸렸는지를 판단하기 곤란한 근로자의 질병에 대하여 한국산업안전 보건공단에 역학조사를 요청할 수 있는 자로 규정되어 있지 않은 자는?
22. 산업안전보건법령상 산업안전지도사(이하 '지도사'라 함)에 관한 설명으로 옳지 않은 것은?
23. 산업안전보건법령상 질병자의 근로 금지·제한 및 유해·위험작업에 대한 근로 시간 제한에 관한 설명으로 옳은 것을 모두 고른 것은?
24. 산업안전보건법령상 공정안전보고서에 포함해야 할 비상조치계획의 세부 내용으로 규정된 것은?
25. 산업안전보건법령상 위반행위에 대한 과태료 금액이 다른 하나는? (단, 가중 및 감경규정은 고려하지 않음)
2과목: 산업안전일반
26. 다음에서 설명하고 있는 안전교육 방법은?
27. “학습자가 지니고 있는 각자의 요구와 능력 등에 알맞은 학습활동의 기회를 마련해 주어야 한다”는 학습지도원리에 해당하는 것은?
28. 제조물 책임법상 손해배상책임을 지는 자가 사실을 입증한 경우에 손해배상책임을 면(免)하는 사유에 해당하지 않는 것을 모두 고른 것은?
29. 적응기제에 관한 내용이다. ( )에 들어갈 것으로 옳은 것은?
30. 산업안전보건법령상 다음과 같은 기계 등을 보유하여 작업하는 사업장의 사업주가 특별교육을 실시하여야 하는 대상 작업에 해당하는 것을 모두 고른 것은?
31. 재해발생 원인에 관한 휴의 이론 중 다음에서 설명하고 있는 요인에 해당 하는 것은?
32. T.B.M(Tool Box Meeting)의 실시순서 5단계를 옳게 나열한 것은?
33. 산업안전보건법령상 산업안전보건위원회의 심의·의결을 거쳐야 하는 사항이 아닌 것은? (그 밖에 근로자의 유해·위험 방지조치에 관한 사항으로서 고용노동부령으로 정하는 사항은 제외함)
34. 위험성평가기법에 관한 설명으로 옳지 않은 것은?
35. 산업안전보건법령에서 정하고 있는 안전보건관리책임자를 두어야 하는 사업의 종류 및 사업장의 상시근로자 수의 연결로 옳지 않은 것은?
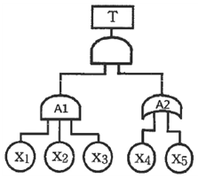
36. 서로 독립인 기본사상 x1~x5 로 구성된 다음의 결함수(Fault Tree)에서 정상 사상 T에 관한 최소절단집합(minimal cut set)을 모두 구한 것은?
37. 신뢰성 척도에 관한 함수 중 옳은 것을 모두 고른 것은? (단, F(t): 고장분포 함수, f(t):고장밀도함수, R(t):신뢰도함수, h(t): 고장률함수, t: 시간이다.)
38. HAZOP 기법에서 적용되는 가이드 워드(guide word)의 의미가 옳지 않은 것은?
39. FMEA에 따라 평가한 결과 위험우선순위점수(Risk Priority Number)가 가장 높은 고장유형은? (단, S는 Severity, O는 Occurrence, D는 Detection rating 이다.)
40. 다음은 각 부품의 신뢰도가 a, b인 시스템의 신뢰성 블록도(Block Diagram)이다. 이 시스템의 신뢰도로 옳은 것은?
41. 사업장 위험성평가에 관한 지침에서 사업주가 위험성평가를 실시할 때 해당 작업에 종사하는 근로자를 참여시켜야 하는 경우로 옳은 것을 모두 고른 것은?
42. 다음 논리식을 가장 간단하게 표현한 것은?





43. 인간공학을 기업에 적용함에 따른 기대효과로 옳은 것은?
44. 산업안전보건법령상 “고용노동부령으로 정하는 안전인증대상기계등”에 해당하는 기계 및 설비 중 설치·이전하는 경우와 주요 구조 부분을 변경하는 경우에는 안전인증을 받아야 한다. 두 가지 모두의 경우에 안전인증을 받아야 하는 기계 및 설비로 옳은 것은?
45. 재해조사 시 유의사항으로 옳은 것을 모두 고른 것은?
46. 재해사례연구의 순서에서 제3단계에 해당하는 것은?(문제 오류로 확정답안 발표시 1, 4번이 정답처리 되었습니다. 여기서는 1번을 누르시면 정답 처리 됩니다.)
47. 연평균 근로자 400명이 작업하는 A제조공장에서 연간 5건의 재해가 발생하였다. 이로 인해 사망 1명, 신체장애등급 11급 3명, 나머지 1명은 휴업일수 50일을 초래하였다. 강도율은 약 얼마인가? (단, 1일 8시간, 연간 285일 작업하며, 결근율은 7%이다.)
48. 인간공학적 의자설계 시 일반원칙에 관한 내용으로 옳지 않은 것은?
49. 근골격계부담작업의 범위 및 유해요인조사 방법에 관한 고시에서 정하고 있는 근골격계부담작업에 해당하지 않는 것은? (단, 단기작업 또는 간헐적인 작업은 제외한다.)
50. 청각적표시장치의 일반원리에 해당하지 않는 것은?
3과목: 기업진단ㆍ지도
51. 해크만과 올드햄(J. Hackman & G. Oldham)이 제시한 직무특성모형에서 작업성과에 대한 경험적 책임(experienced responsibility)에 영향을 미치는 핵심직무차원은?
52. 인력의 수요와 공급을 예측하는 기법들 중에서 수요예측 기법을 모두 고른 것은?
53. 단체교섭의 유형 중 특정 기업 또는 사업장 단위로 조직된 노동조합이 해당 기업의 사용자 대표와 교섭하는 것은?
54. 민쯔버그(H. Mintzberg)가 제시한 조직의 5가지 구성부문(parts)으로 옳지 않은 것은?
55. 피들러(F. Fiedler)의 상황적합이론에 관한 설명으로 옳지 않은 것은?
56. 수요예측 기법에 관한 설명으로 옳지 않은 것은?
57. 자재소요계획(material requirement planning)의 입력 자료를 모두 고른 것은?
58. 6시그마에 관한 설명으로 옳지 않은 것은?
59. 공급사슬관리에 관한 설명으로 옳은 것은?
60. 직업 스트레스 과정을 여러 개의 요소(facet)로 나눌 수 있다고 제안한 비어와 뉴먼(T. Beehr & J. Newman) 모델의 구성 요소가 아닌 것은?
61. 직무분석에서 사용하는 직위분석 설문지(Position Analysis Questionnaire)의 주요 차원이 아닌 것은?
62. 동기에 관한 이론적 접근 중에서 앨더퍼(C. alderfer)의 ERG 이론이 해당 되는 것은?
63. 다음의 설문 문항들이 측정하고자 하는 것은?
64. 다음 그림이 제시하는 집단효과성 모델은?
65. 제니스(I. Janis)가 제시한 집단사고(groupthink)가 발생할 가능성이 높은 상황을 모두 고른 것은?
66. 위험감수성(Danger Sensitivity)에 영향을 미치는 주된 요인으로 옳지 않은 것은?(문제 오류로 확정답안 발표시 모두 정답처리 되었습니다. 여기서는 1번을 누르면 정답 처리 됩니다.)
67. 특정 상황과 부분적으로 결합되는 친근한 정보에 사로잡히면서 발생하는 인간 오류는?(문제 오류로 확정답안 발표시 1, 3, 5번이 정답처리 되었습니다. 여기서는 1번을 누르시면 정답 처리 됩니다.)
68. 노만(D. Norman)의 스키마 이론에서 실수(slip)의 기본적 분류에 해당하는 것을 모두 고른 것은?(문제 오류로 확정답안 발표시 2, 4번이 정답처리 되었습니다. 여기서는 2번을 누르시면 정답 처리 됩니다.)
69. 현재 국내 작업환경측정 대상이면서 물리적 유해인자로 옳은 것은?
70. 산업안전보건기준에 관한 규칙상 관리대상 유해물질에 관한 물질상태, 후드형식, 제어풍속이 옳게 연결된 것은?
71. 고용노동부 고시에 따른 화학물질의 노출기준(TWA)으로 옳지 않은 것은?
72. 암모니아를 작업환경측정·분석 기술지침에 따라 측정을 실시할 때 분석기기와 검출기로 옳은 것은?
73. 화학물질 및 물리적인자의 노출기준에서 정보물질의 표기 내용에 해당하는 물질은?
74. 국소배기장치에서 후드 개구면 속도를 균일하게 분포시키는 방법으로 옳지 않은 것은?
75. 화학물질 및 물리적 인자의 노출기준에서 용어 정의 및 노출기준에 관한 설명으로 옳지 않은 것은?
정답: ① 자율성
해설: 핵심 직무 차원과 심리 상태의 매칭은 필수 암기 사항입니다.
기술다양성, 과업정체성, 과업중요성 → 작업의 의미 경험
자율성 → 작업 결과에 대한 책임감 경험
피드백 → 작업 결과에 대한 지식