1과목: 과목 구분 없음
1. 다음 설명 중 옳지 않은 것은?
2. 자료 (xi, yi)(i = 1,2,…,n)에 단순선형회귀모형 yi = β0+β1xi + εi를 적합하여 분석하고자 한다. 다음 산점도 중 단순선형회귀모형의 결정계수가 가장 큰 것은?




3. 컴퓨터 부품의 품질은 두 인자 A, B에 따라 달라질 수 있다고 한다. 다음은 인자 A의 3가지 수준과 인자 B의 6가지 수준의 가능한 18가지 실험 조건에서 무작위 순서로 한 개씩 부품을 생산한 후, 부품의 품질을 수치화하여 얻은 분산분석표의 일부이다. 인자 A의 수준에 따라 부품의 품질에 차이가 있는지를 검정하기 위한 F-검정통계량의 값은?
4. 가설검정에 대한 설명으로 옳지 않은 것은?
5. 어느 회사에서 남성 150명과 여성 150명을 임의추출한 후 세 종류의 신상품 A, B, C에 대한 선호도를 조사하여 다음과 같은 분할표를 얻었다. “성별에 따른 신상품 선호도에 차이가 없다.”라는 귀무가설을 검정하기 위한 카이제곱검정통계량의 값과 유의수준 5%에서 검정한 결과를 바르게 연결한 것은? (단,
는 자유도가 k인 카이제곱분포의 제100×(1-α) 백분위수를 나타내고,
,
이다)
6. 세 자료 A, B, C의 변동계수를 각각 a, b, c 라 할 때, 옳은 것은?
7. 두 확률변수 X와 Y의 결합확률분포가 다음 표와 같다. X의 기댓값이 0 일 때, 옳은 것은?




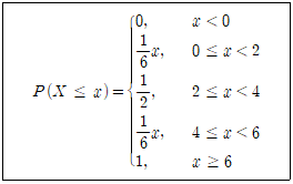
8. 확률변수 X에 대한 누적 확률 P(X≤x)가 다음과 같을 때, 옳지 않은 것은?
을 만족시키는 a의 값은 3/2 이다.


9. 확률변수의 성질에 대한 설명으로 옳은 것만을 모두 고르면?
10. 어떤 방송사의 저녁 뉴스 시청률을 알아보기 위해 400가구를 조사했다. 이 방송사 저녁 뉴스를 시청하는 비율 p에 대한 가설 H0 : p = 0.1 대 H1 : p>0.1 에 대한 검정에서 Z-검정통계량의 값이 2일 때, 조사한 400가구 중 이 방송사 저녁 뉴스를 시청한 가구 수와 유의확률을 바르게 연결한 것은? (단, 확률변수 Z가 표준정규분포를 따를 때 P(Z≤2) = 0.9772 이다)
11. 다음은 자료 (xi, yi)(i = 1,2,…,n)에 단순선형회귀모형 yi = β0 + β1xi + εi를 최소제곱법으로 적합하여 얻은 결과이다. 이 단순선형회귀모형의 잔차제곱합(SSE)은? (단,
은 β1의 최소제곱추정량이다)
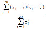
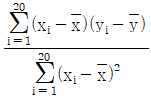
12. 자료 (xi, yi)(i = 1,2,…,20)에 절편이 없는 단순선형회귀모형 yi = βxi + εi 를 적합하려고 한다. β에 대한 최소제곱추정량은? (단, xi는 서로 다르다)




13. 다음은 자료 (xi, yi)(i = 1,2,…,12)에 단순선형회귀모형 yi = β0 + β1xi + εi를 최소제곱법으로 적합하여 얻은 분산분석표의 일부이다. 이 단순선형회귀모형에서 잔차제곱합의 자유도와 결정계수의 합은? (단, εi는 정규분포 N(0, σ2)을 따르고 서로 독립이다)
14. 주사위 한 개를 던져서 나온 눈의 수를 N이라고 하자. 1부터 N까지의 자연수가 하나씩 적힌 공 N개를 주머니에 넣은 후 임의로 한 개를 뽑을 때, 뽑힌 공에 적힌 숫자가 4일 확률은? (단, 각 공에는 숫자가 하나만 적혀 있다)
15. 어느 도시 직장인 1,500명을 임의추출하여 성별과 출근 교통수단은 해당 항목을 선택하게 하고, 출근 거리와 소요 시간은 직접 작성하도록 하는 다음과 같은 설문조사를 실시했다. 
이에 대한 설명으로 옳지 않은 것은?
16. 다음은 반복 수가 같은 일원배치법으로부터 얻은 분산분석표의 일부이다. 처리 효과가 없다는 귀무가설을 유의수준 5%에서 검정하는 방법으로 옳은 것은? (단, Fα(k1,k2)는 분자와 분모의 자유도가 각각 k1, k2인 분포의 제100×(1-α) 백분위수를 나타내고, F0.95(3, 20) = 0.12, F0.95(20, 3) = 0.32, F0.05(20, 3) = 8.66 이다)
이므로 귀무가설을 기각함
이므로 귀무가설을 기각하지 못함
이므로 귀무가설을 기각함
이므로 귀무가설을 기각하지 못함17. 모평균과 모분산 σ2 이 알려지지 않은 정규모집단에서 추출한 13개의 확률표본 X1, X2, …, X13의 표본분산을 S2이라 하자. 가설 H0 : σ2= 4 대 H1 : σ2>4에 대한 검정에서 기각역으로 S2 >6 을 사용하고자 한다. 확률변수 V는 자유도가 12인 카이제곱분포를 따를 때, 이 검정에서 제1종 오류의 확률과 같은 것은?
18. 어떤 회사에서 생산하는 건전지의 평균 수명은 300일이라고 알려져 있다. 이를 확인하기 위하여 건전지 15개를 임의추출하여 구한 평균 수명(단위: 일)에 대한 95% 신뢰구간은 (296,308) 이었다. 귀무가설 “건전지의 평균 수명은 300일이다.”와 대립가설 “건전지의 평균 수명은 300일이 아니다.”에 대한 검정에서 t-검정통계량의 값과 같은 것은? (단, 건전지의 수명은 정규분포를 따른다고 하며, tα(k)는 자유도가 k인 t분포의 제100×(1-α) 백분위수를 나타낸다)




19. 정규분포 N(μ, σ2)을 따르는 모집단에서 추출한 25개의 확률표본 X1,…,X25의 표본평균을
라고 하자. X1이 다음 조건을 만족한다. 
다음 중 옳은 것만을 모두 고르면?
20. 어느 극장에서 월요일부터 금요일까지 관람객 수의 비율이 1 : 1 : 1 : 1 : 2 인지를 검정하고자 평일 관람객 1,200 명을 조사하여 다음 표와 같이 정리했다. 
카이제곱검정에서 a의 값이 0부터 600까지 증가할 때, 유의확률에 대한 설명으로 옳은 것은?